画像をダウンロード norfloxacin capsules 133500-Norfloxacin and tinidazole capsules
Take tablets or capsules with a full glass of water (8 ounces or 240 milliliters) unless otherwise directed by your doctor Do not lie down for at least 10 minutes after taking your tablet or capsule dose Swallow extendedrelease capsules whole Do not crush or chew extendedrelease capsules or tabletsThe name of your medicine is APONorfloxacin It contains the active ingredient norfloxacin Norfloxacin belongs to a group of antibiotics called quinolones It works by killing the bacteria causing the infectionMay 09, · Take norfloxacin exactly as your doctor tells you to The usual dose is one 400 mg tablet, taken twice a day Swallow the tablet with a drink of water You should take the tablets when your stomach is empty, which means taking them one hour before any food, or waiting until two hours afterwards
Norfloxacin Tablets At Best Price In Vadodara Gujarat Savorite Pharmaceuticals
Norfloxacin and tinidazole capsules
Norfloxacin and tinidazole capsules-Norfloxacin is usually taken every 12 hours Follow all directions on your prescription label Do not take this medicine in larger or smaller amounts or for longer than recommended Take thisNorfloxacin is an antibiotic in a group of drugs called fluoroquinolones (floroKWINolones) Norfloxacin fights bacteria in the body Norfloxacin is used to treat different bacterial infections of the prostate or urinary tract (bladder and kidneys) Norfloxacin is also used to treat gonorrhea


Buy Norflox 400mg Online Norfloxacin 400 Mg
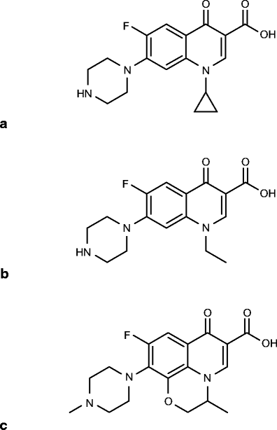
Norfloxacin is metabolized by the liver and excreted primarily in the urine The elimination t 1/2 for a single IV dose is approximately 8 hours It is important to note that AdvaCare's norfloxacin injection is for veterinary purposes only, and although' similar medications are available for human use, you should only use the medicationsAttained in the urine In healthy volunteers, mean urinary concentrations of norfloxacin remain above 30 μg/mL for at least 12 hours following a 400mg dose The urinary pH may affect the solubility of norfloxacin Norfloxacin is least soluble at urinary pH of 75 with greater solubility occurring at pHs above and below this valueMar 02, 21 · Norfloxacin, a fluoroquinolone, is 1ethyl6fluoro1,4dihydro4oxo7 (1piperazinyl)3quinolinecarboxylic acid Its empirical formula is C 16 H 18 FN 3 O 3 and the structural formula is Norfloxacin is a white to pale yellow crystalline powder with a molecular weight of and a melting point of about 221°C
Jan 17, 19 · Norflox tablets contain Norfloxacin 400 mg, a drug with antibacterial properties The drug is manufactured and largely marketed by Cipla Pharmaceuticals Limited How Norflox 400 MG Tablet works?The norfloxacin tablets comprise the following raw materials in percentage by weight to 80 percent of norfloxacin, 5 to 79 percent of disintegrating agent, and 1 to 8 percent of lubricatingThese tablets contain 400 mg norfloxacin as the active substance The other ingredients are povidone, sodium starch glycolate, microcrystalline cellulose, silica colloidal anhydrous, magnesium stearate, purified water, hypromellose, talc, titanium dioxide, propylene glycol What Norfloxacin 400 mg looks like and contents of the pack
This website uses cookies By continuing to browse this website you are agreeing to our use of cookiesTABLETS NOROXIN ® (NORFLOXACIN) WARNING Fluoroquinolones, including NOROXIN ®, are associated with an increased risk of tendinitis and tendon rupture in all ages This risk isTABLETS NOROXIN ® (NORFLOXACIN) WARNING Fluoroquinolones, including NOROXIN, are associated with an increased risk of tendinitis and tendon rupture in all ages This risk is


Vertex Norfloxacin Tablets Coated 400 Mg Pcs


Buy Cheap Noroxin Norfloxacin No Prescription 400mg Antibacterial Drugs Antiinfectivemeds Com
The typical adult dose of Norfloxacin is 400 mg twice a day (not more than 800 mg daily) The maximum dose for adults of Norfloxacin is 800 mg once daily per day This medicine is commonly used for a period of 310 days for uncomplicated urinary tract infection, 1021 days for complicated urinary tract infection, 1 day for uncomplicated gonorrhea, and 28 days for inflammation of theChina GMP Certified Norfloxacin Tablet & Norfloxacin Capsule, Find details about China Norfloxacin Capsule, Norfloxacin Capsules from GMP Certified Norfloxacin Tablet & Norfloxacin Capsule Qingdao Fraken International Trading Co, LtdFind here list of norfloxacin capsules manufacturers, norfloxacin capsules suppliers and exporters from IndiaVisit norfloxacin capsules directory and


Norfloxacin Youtube


Norfloxacin Tablets Manufacturer Supplier India Buy Online
Oct 29, · Take norfloxacin at the same time of day Take on an empty stomach Take 1 hour before or 2 hours after meals or having milk or other dairy products Take with a full glass of waterObjective To assess the bioavailability of norfloxacin from urinary excretion relative to plasma concentration Materials and methods Twelve healthy volunteers (2233 years) participated in the study Each received a previously developed (M), a local (L) and a multinational (Noroxin) tablet (Ref), 400 mg each, according to a random balanced threeway crossover design on 3 differentARROW NORFLOXACIN Norfloxacin 400 mg Tablets What is in this leaflet This leaflet answers some common questions about ARROW NORFLOXACIN It does not contain all of the available information It does not take the place of talking to your doctor or pharmacist All medicines have benefits and risks Your doctor has weighed the risks of


Norfloxacin Tablets Ip Packaging Type Blister Rs 45 Strip Id


Lukang Norfloxacin Capsules 0 1g Capsules Box Urinary Tract Infection Gonorrhea Inflammation Intestinal Infection And Typhoid Fever And Other Salmonella Infections One Box
Sep 13, · product name norfloxacin tablets ip 0 mg batch size 10 lac product reference code 234 unit size 10 ´ 10 generic name pack size 21 ´ 10 ´ 10 dosage form capsule strength na department non βlactam department expiry dateMar 10, 21 · Warnings You should not use loperamide if you have ulcerative colitis, bloody or tarry stools, diarrhea with a high fever, or diarrhea caused by antibiotic medication Loperamide is safe when used as directed TAKING TOO MUCH LOPERAMIDE CAN CAUSE SERIOUS HEART PROBLEMS OR DEATHB Shake a quantity of finely powdered Tablets, equivalent to about 75 mg of norfloxacin, with 50 mL of a mixture of acidic methanol (prepared by mixing 1000 mL of methanol and 9 mL of hydrochloric acid) and methylene chloride (11) Centrifuge a portion of the suspension thus obtained, and use the clear supernatant as the test solution Apply 50 µL each of the test


Norflox Tz Tablet 10 Tab Price Overview Warnings Precautions Side Effects Substitutes Cipla Ltd Sastasundar Com


Norfloxacin Capsules Shanghai Trifecta Pharma Co Ltd
Oct 21, · Norfloxacin 400 MG Tablet is a used to treat uncomplicated urinary tract infections and cystitis caused by susceptible gramnegative and grampositive bacteria It is also prescribed to treat sexually transmitted disease (eg, uncomplicated urethral and cervical gonorrhoea) caused by N gonorrhoeaeNorfloxacin HCL capsules is a synthetic chemotherapeutic agent used to treat common as well as complicated urinary tract infections and prostate infections It is also used to treat a variety of bacterial infections It works by stopping the growth of bacteria This antibiotic treats only bacterial infectionsNorfloxacin Tablets Product Name Norfloxacin Tablets Trade Name Noroxin Available Strength 100mg, 0 mg, 400 mg Available Combination Norfloxacin Tinidazole tablet, Norfloxacin Metronidazole tablet Packing 10X10 Tablets/Box Pack Insert/Leaflet Yes Therapeutic use Antibiotic Production Capacity 10 million tablet/month


Norfloxacin Tz 400mg Tablets Rosheta Saudi Arabia


Full Text In Vitro Comparative Quality Assessment Of Different Brands Of Norflox Dddt
Bacterial infection is caused due to deoxyribonucleic acid synthesis by bacteria Norflox 400 mg works by blocking and preventing bacteria fromNorfloxacin is a synthetic antibacterial agent that belongs to the class of fluoroquinolone antibiotics It is used to treat urinary tract infections, gynecological infections, inflammation of the prostate gland, gonorrhea and bladder infection Eye drops were approved for use in children older than one year of ageJul 30, 19 · Norfloxacin is a fluoroquinolone antibiotic Other fluoroquinolones include ciprofloxacin (Cipro), levofloxacin (Levaquin), and ofloxacin (Floxin) Norfloxacin works by blocking DNA gyrase enzyme, which is responsible for production and repair of bacterial DNA Blocking of DNA gyrase leads to bacteria death and prevents worsening of infection


Norfloxacin Capsule


Norfloxacin Drug Information Uses Side Effects Chemistry Pharmacompass Com
Norfloxacin is a broadspectrum antibiotic agent that is shown to be effective against various Grampositive and Gramnegative bacterial species The fluorine atom at the 6 position increases potency against gramnegative organisms, and the piperazine moiety at the 7 position is responsible for antipseudomonal activityNorflox 400 mg tablet is used in the treatment of bacterial infections of the urinary tract It is an antibiotic containing a combination of two medicines, Norfloxacin and spores of lactic acid bacill us It should be avoided if you are allergic to it or you develop swelling, pain in your limbs which is associated with the use of Norfloxacin or similar medicinesNorfloxTZ tablet is a combination of 3 medicines It is used to treat diarrhoea due to bacteria, amoeba or mixed organisms NorfloxTZ tablet contains Norfloxacin, Tinidazole, and Lactic acid bacillu s NorfloxTZ tablet is not recommended in patients below 18 years, pregnant women and breastfeeding mothers


Norflox Tablet 10 Off Buy Norflox 0 400 Mg Arrowmeds


Netilmicin Busalfan Injection Wholesale Distributor From Mumbai
Norfloxacin is mainly used for common house pets such as dogs and cats and can be used to treat pigeons Nоrflоxасіn bеlоngѕ tо thе grоuр оf quіnоlоnеѕ аnd асtѕ bactericidal аgаіnѕt mаіnlу Grаmnеgаtіvе bасtеrіа lіkе cаmруlоbасtеr, E coli, hаеmорhіluѕ, pаѕtеurеllа, sаlmоnеllа, аndOur company is one of the leading names of the industry that offers Norfloxacin Tablets that are used to cure bacterial infections Advised as per the doctor's recommendation, these effective tablets function by killing the bacteria Widely appreciated for its longer shelf life and accurate composition, the proposedMay 05, 16 · Norfloxacin Tinidazole Tablet is used for Stomach infection, Infections of the abdomen, Bacterial infections, Typhoid fever bacterial infections, Vaginal or stomach infections, Womb lining infections, Infections of the skin, Eye and ear infection, Bacterial infection, Intestinal infections and other conditionsNorfloxacin Tinidazole Tabletmay also be used for purposes not


Free Shipping Official Authentic Renhe Levofloxacin Hydrochloride Capsules 0 1g 10 Capsules Box Acute And Chronic Bronchitis Norfloxacin Tonsillitis Urinary System Infection Urethritis Urinary Tract Infection Anti Inflammatory Drug Antibiotic


India S Leading Manufacturers And Exporters Of Tinidazole Norfloxacin Tablets Ear Infection Home Remedies Ear Infection Remedy Ear Infection
Dec 12, 17 · NOROXIN (norfloxacin) tablets, 400 mg, is the subject of NDA , held by Merck & Company, Inc (Merck), and initially approved on October 31, 1986 NOROXIN is indicated for the treatment of adults with the following infections caused by susceptible strains of certain designated microorganisms Uncomplicated urinary tract infectionsNorfloxacin is a synthetic, broadspectrum fluoroquinolone with antibacterial activity Norfloxacin inhibits activity of DNA gyrase, thereby blocking bacterial DNA replication Norfloxacin concentrates in the renal tubules and bladder and is bactericidal against a wide range of aerobic grampositive and gramnegative organismsObjective Establish and compare the comparable bioavailability of 400 mg norfloxacin coated tablets (Oranor ) and 400 mg norfloxacin tablets (Noroxin ) after administration of an oral dose, in fasting conditions, in healthy male subjects Subjects and methods This was a 2 x 2 crossover, randomized, singledose, openlabel study which included


Norfloxacin 400 Mg Tinidazole 600 Mg Tablets Manufacturer Norfloxacin 400 Mg Tinidazole 600 Mg Tablets Supplier Exporter


Nt 400 Norfloxacin Tinidazole Tablets West Coast Pharmaceuticals
Background Norfloxacin is a synthetic antibacterial agent belonging to the group of fluoroquinolones, 1,2 and it is the first fluoroquinolone that obtained approval from United States Food and Drug Administration (USFDA) for use in clinical settings in 1984 3 This drug is chemically known as 1ethyl6fluoro1,4dihydro4oxo7(1piperazinyl)–3quinolinecarboxylicacid 1,2Medicines containing norfloxacin have been available in all European Union (EU) Member States since the mid1980s under various trade names They are available as 'oral formulations' (medicines that are taken by mouth, such as tablets, capsules and solutions) asCapsule Injection Birth Control Device Ointments Syrups Generic name Norfloxacin Tablets (norFLOXasin) Brand name Noroxin Description Norfloxacin is a synthetic, broadspectrum antibacterial agent for oral administration


China Norfloxacin Capsules 100mg Gmp Medicine China Norfloxacin Norfloxacin Tablet


Norfloxacin Capsules Market Size Share Trend And Forcarst To 25 Prof Research
Oct 29, · Applies to norfloxacin oral tablet General This drug was generally well tolerated and side effects were mild Side effects were reported in 65% of subjects receiving single doses and 36% of subjects receiving multiple doses Gastrointestinal Common (1% to 10%) Nausea, abdominal crampingAdvaCare is a GMP manufacturer of Norfloxacin tablets Norfloxacin tablets are a synthetic, chemotherapeutic and broadspectrum antibacterial agent for oral administration Norfloxacin is in a class of antibiotics called fluoroquinolones used in adults to treat bacterial infections It works by stopping the growth of bacteria


Norfloxacin Tablet 400mg Jean Coutu


Norfloxacin Youtube


Lansa Pharma Group


Pile Of Pink Tablets Pill Isolated On White Background Norfloxacin 400 Mg For Treatment Cystitis Antibiotics Drug Resistance Pink Pills Symbol Of R Stock Photo Alamy


Norflox Eye Drop 0 3 5ml Eye Drop Norfloxacin Benzalkonium Chl


Noroxin Norfloxacin 100mg Tabs Gpp


Pile Of Pink Tablets Pill Isolated On White Background Norfloxacin 400 Mg For Treatment Cystitis Antibiotics


Norfloxacin Wikidoc


Buy Norflox Norfloxacin 0 Mg Pharmaoffshore Co


Norfloxacin I P 0 Mg


Norfloxacin Soluble Powder Advacare Pharma


Floxin 0 Floxin 400 Norfloxacin Tablets West Coast Pharmaceuticals


Norflox 400mg Tablet Uses Side Effects Dosage Benefits Price Justdoc


Harmful Combo Drugs Flood Market


Buy Norflox 400mg Online Norfloxacin 400 Mg


Products


China Norfloxacin Capsules 100mg Gmp Medicine China Norfloxacin Norfloxacin Tablet


Norfloxacin 400 Mg Film Coated Tablet Smpc Taj Pharmaceuticals Auto


Complete Picture Of Norfloxacin Capsule Page 6 Line 17qq Com


Apo Norfloxacin Nps Medicinewise


Norfloxacin 96 7


Finished Product Norflox 400 Mg Tablet For Personal Rs 64 52 Strip Id


Norfloxacin Capsules 北京京丰制药有限公司


Norfloxacin Wikidoc


China Norfloxacin Tablets 400 Mg China Pharmaceutical Chemical Chemical


Norfloxacin Uses Dose And Side Effects


Norflox 400mg Tablet 10 S Buy Medicines Online At Best Price From Netmeds Com


Norfloxacin And Tinidazole Syrup Manufacturer Supplier Exporter


Spectrophotometric Determination Of Norfloxacin Using Bromophenol Blue Sciencedirect


Norfloxacin Youtube


Norflox 400 Mg Noroxin


Where To Order Norfloxacin Online


Norfloxacin Tinidazole Tablets Manufacturer Supplier India Buy Online


Norflox 400 Tablet View Uses Side Effects Price And Substitutes 1mg


Results Of Determination Of Norfloxacin Content In Capsules A Download Table


Norflox 400 Tablet View Uses Side Effects Price And Substitutes 1mg


Commercial Circulation Variety Series Fujian Pacific Pharmaceutical Co Ltd


Norfloxacin Tablets Advacare Pharma


Chinese And Western Drug Tablets Containing Hormones Psychotropic Drugs Granules Capsules Pills Bulk Drugs Shanxi Hengruida Pharmaceutical Co Ltd


Epinor Eipico Cphi Online


Noroxin Norfloxacin Uses Dosage Side Effects Interactions Warning


Buy Norflox Tz Tinidazole Norfloxacin Lactobacillus Norflox Tz Online Buy Pharma Md


Norfloxacin Injection Advacare Pharma


Norflox 400 Mg Tablet Uses Dosage Side Effects Price Composition Practo


Norflox 400mg Tablet Uses Side Effects Dosage Composition Price Pharmeasy


Buy Tinidazole Norfloxacin Tablet Norflox Tz Rf Online Buy Pharma Md


Norflox 0 Mg Tablets Wholesaler Supplier Exporter


Norfloxacin Sinophare Pharma


Determination Of Norfloxacin In Human Urine By Capillary Electrophoresis With Electrochemiluminescence Detection Springerlink


High Sensitive Electrochemical Sensor For Determination Of Norfloxacin And Its Metabolism Using Mwcnt Cpe Prgo Ansa Au Sciencedirect


Pictures Of Norfloxacin And Norfloxacin Page 1 Line 17qq Com


Anti Infective Medicines Anti Bacterial Tablets Exporter From Navi Mumbai


Norfloxacin Tablets At Best Price In Vadodara Gujarat Savorite Pharmaceuticals


Norflox 0 Mg Norfloxacin Noroxin It S Precautions Uses


Hengjian Norfloxacin Capsules 0 1g 50 Capsules Treatment Of Urinary Tract Urinary System Infections Female


Norfloxacin Tablets Manufacturer Supplier Exporter


3 Year Room Temp Norfloxacin Tinidazole Tablets 10 X 10 Tab Box Packaging Type Blister Rs 45 Box Id


Norfoxacin Capsules For Urinary Tract Infections Gonorrhea Prostatitis Buy Norfoxacin Capsules For Urinary Tract Infections Gonorrhea Prostatitis Herb Uti 1 6 38


Norfloxacin Tablets West Medicine For Human China Netilmycin West Medicine Made In China Com


Buy Noroxin Norfloxacin 400 Mg Tablets Online


Norstrep Capsules Capsules Torque Pharma


Chemical Structure Of Norfloxacin Cas 7 Download Scientific Diagram


Alaina Pharma Norfloxacin And Tinidazole Tablet Third Party Pharma Manufacturing


Picture Of Norfloxacin Capsule 7 5 Page 1 Line 17qq Com


Resolution Of Ofloxacin Ciprofloxacin And Ofloxacin Norfloxacin Binary Mixtures By Flow Injection Chemiluminescence In Combination With Partial Least Squares Multivariate Calibration Springerlink


Norfloxacin Hcl Capsules Advacare Pharma


Norfloxacin Capsule Unicepharma


Pile Of Pink Tablets Pill On White Background Near Stainless Stock Photo Picture And Royalty Free Image Image


Ciprofloxacin Wikipedia


China Gmp Certified Norfloxacin Tablet Norfloxacin Capsule China Norfloxacin Capsule Norfloxacin Capsules


Norfloxacin 96 7


Norfloxacin Side Effects Dosage Interactions Everyday Health


Chinese And Western Drug Tablets Containing Hormones Psychotropic Drugs Granules Capsules Pills Bulk Drugs Shanxi Hengruida Pharmaceutical Co Ltd


Bangmin Norfloxacin Capsules 0 1g 12 Capsules 2 Boards


Pile Of Pink Tablets Pill On White Background Near Stainless Stock Photo Picture And Royalty Free Image Image


Norzest Tz Tablets Tinidazole Suppliers In India Innovative Pharmaceuticals


Pile Of Pink Tablets Pill Isolated On White Background Norfloxacin 400 Mg For Treatment Cystitis Antibiotics Drug Resistance Pink Pills Symbol Of Romantic Love And Healthcare For Perfect Couple Stock Photo


Pictures Of Norfloxacin Capsules Page 1 Line 17qq Com


Pile Of Pink Tablets Pill On White Background Near Stainless Stock Photo Picture And Royalty Free Image Image


Norfloxacin Capsules Chemical Drugs Chunfeng Pharmaceutical

コメント
コメントを投稿